Brinell Hardness Test
The Brinell hardness test is a foundational indentation method used to quantify the mechanical resistance of a metallic material. Standardized under ISO 6506 and ASTM E10, this test is the industry benchmark for measuring the hardness of materials with coarse or irregular grain structures, such as castings, forgings, and heavy-duty steel pipes.
The Engineering Methodology
The test utilizes a high-precision, hardened steel or tungsten carbide ball typically 10mm in diameter which is pressed into the surface of the test specimen under a specific load, usually 3000kgf . The load is maintained for a dwell time of 10 to 30 seconds to ensure plastic deformation occurs.
Calculating the Brinell Hardness Number (HBW)
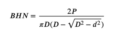
The hardness is not measured by the depth of the penetration, but by the surface area of the resulting circular indentation. After the load is removed, the diameter of the indentation is measured using a calibrated optical microscope across two perpendicular axes. The Brinell Hardness Number (HBW / BHN) is calculated using the following formula:

Where:
- P = Applied load in kgf
- D = Indenter diameter in mm
- d = Indentation diameter in mm
Why It is Critical for Manufacturing?
Unlike the Rockwell or Vickers tests, the Brinell test covers a relatively large surface area. This averaging effect is vital in the tube and pipe industry to confirm the structural integrity of a large section of metal, ensuring that the material can withstand the internal pressures and external stresses required for industrial conduits, pipes or tubes.
